400-801-1058
营业网点
首页
走进我们
公司介绍
公司概况
股东介绍
组织架构
企业文化
公司大事记
荣誉清单
公司动态
信息公示
基本情况
公司历史
分支机构情况
公司高管信息
从业人员
公司股东
居间人信息
手续费率
交易手续费率
交割手续费率
期货经纪合同文本
保证金账户公示
投诉与建议
资管信息公示
投资咨询信息公示
风险管理子公司信息公示
债券人员信息公示
资管业务关联方信息披露
人才招聘信息管理
在线招聘
业务矩阵
经纪业务
资管业务
投资咨询
风险管理
网上营业厅
开户服务
极速开户
仿真交易
开户通知书
交易服务
银期转账
应急交易
表单下载
交易指南
账单查询
交割服务
各品种交割信息
交割业务
仓单业务
自助业务指南
手机开户指南
掌上营业厅指南
软件服务
软件下载
常见问题
通知公告
公司公告
交易提示
风险揭示
研究资讯
日报
研究报告
策略报告
直播课堂
财享汇
投资者教育
期货法规
国家法律
行政法规
部门规章
自律规则
投教手册
投资者教育手册
交易所品种手册
投教小课堂
新手指南
投资必读
乐学期货
在线视频
期货学院
防非打非
监管法规
风险提示
风险案例
网络安全
反洗钱专栏
反洗钱基本概念
反洗钱法律法规
反洗钱案例
反洗钱宣传教育
党建专刊
党建新闻
乡村振兴
营业网点
期货营业部
IB营业部
走进我们
手续费率
交易手续费率
交割手续费率
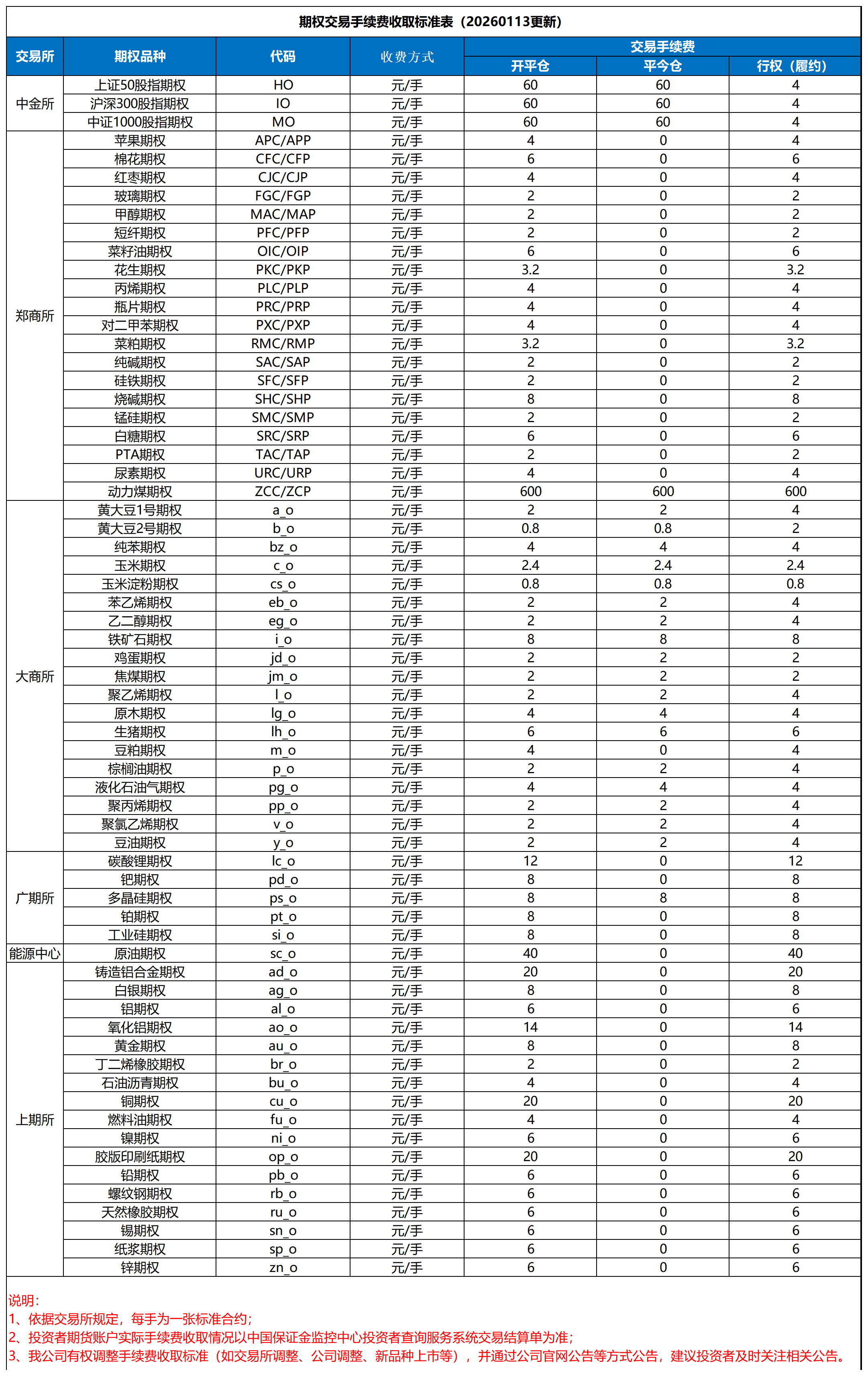
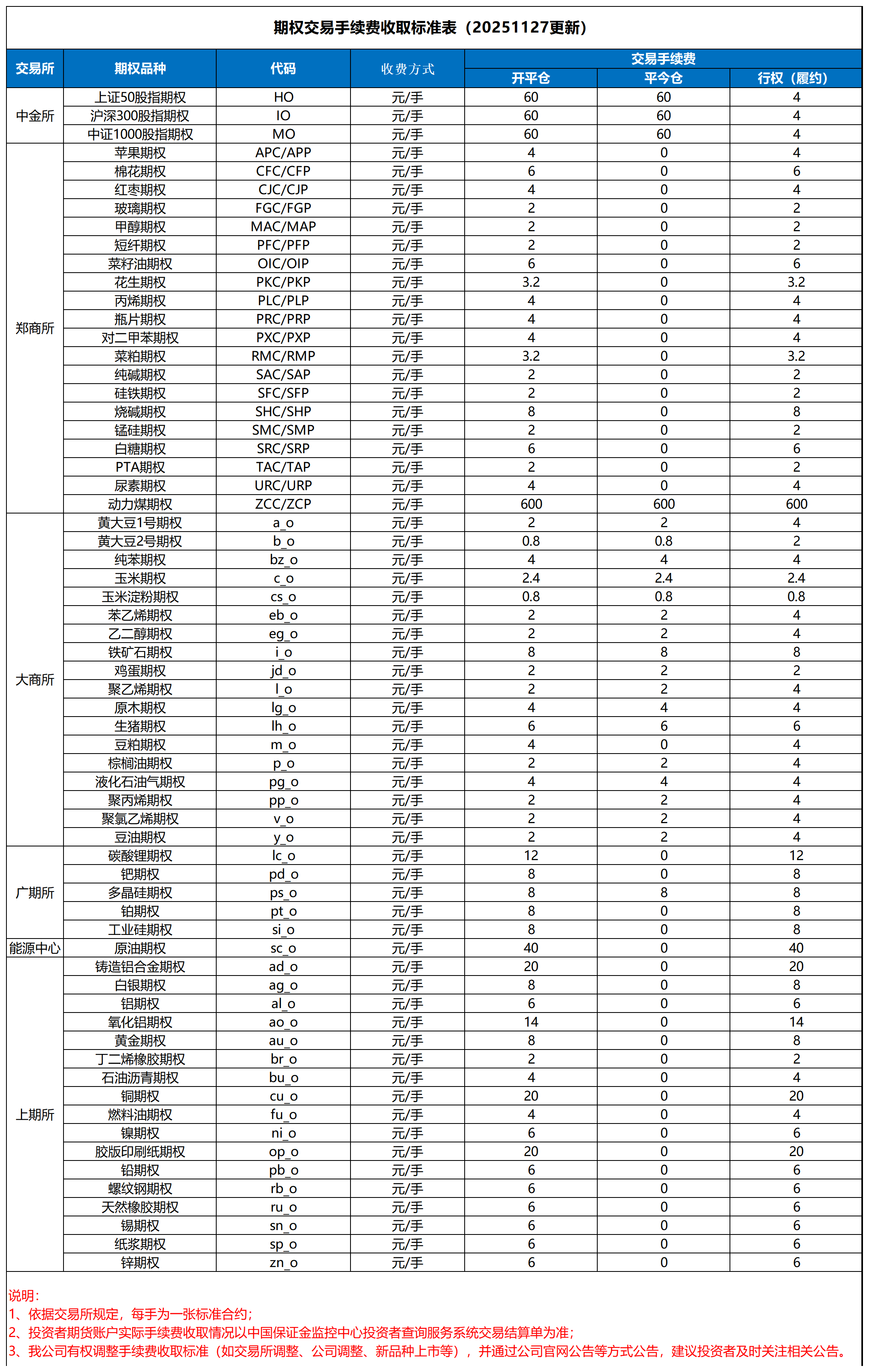
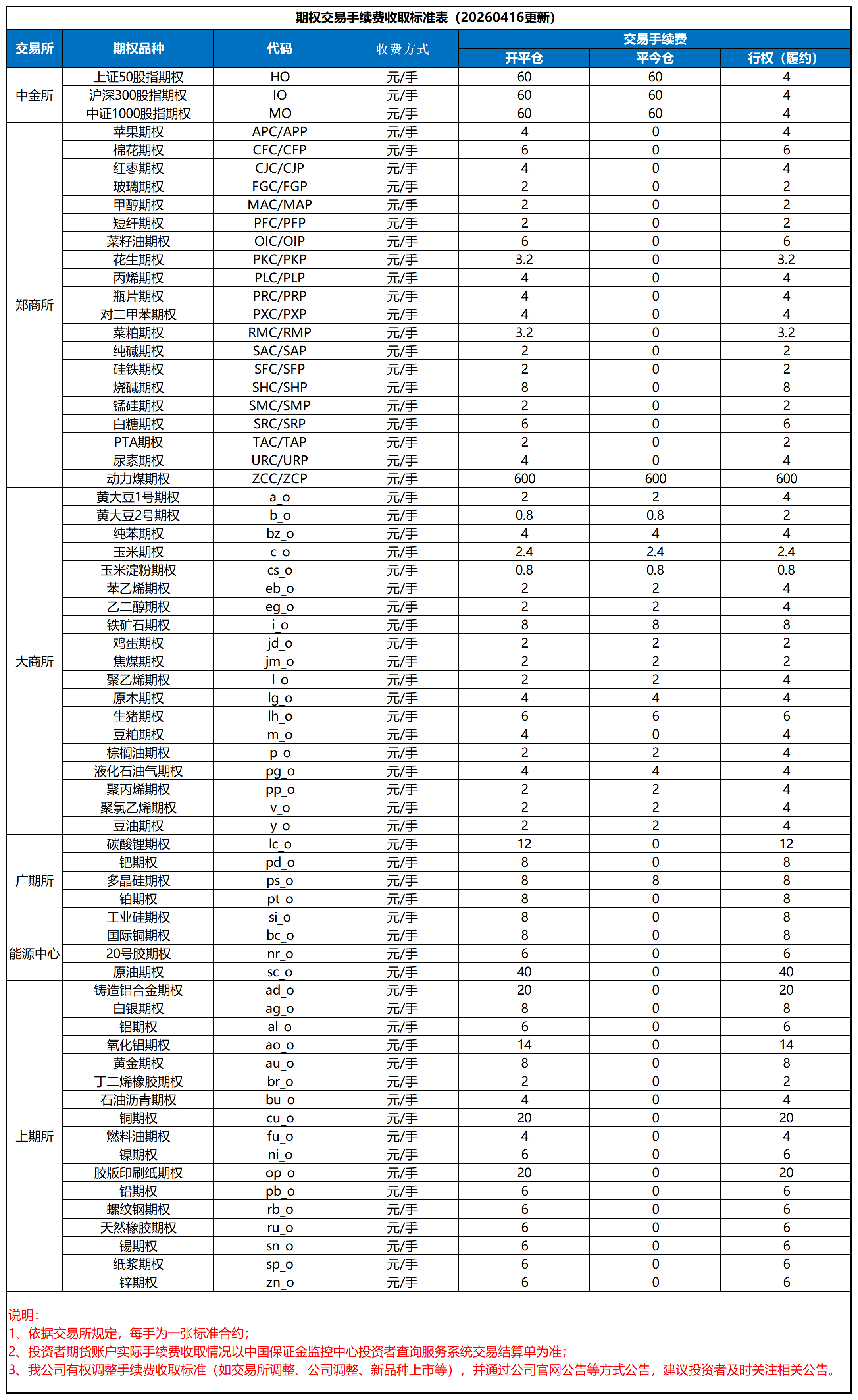
期货交易手续费收取标准表
2026-03-31
期权交易手续费收取标准表
2026-01-12
共 2 条
1
前往
页